Borang Tempahan Bilik Mesyuarat / Sistem tempahan bilik mesyuarat tourism malaysia masukkan id dan katalaluan ( sama seperti id & katalaluan pc ).

Borang Tempahan Bilik Mesyuarat / Sistem tempahan bilik mesyuarat tourism malaysia masukkan id dan katalaluan ( sama seperti id & katalaluan pc ).. Tarikh kegunaan cop nama dan jawatan. Persediaan sebelum, semasa dan selepas mesyuarat. Tempahan dewan mokeim (muat 90 orang), bilik mesyuarat (muat 20 orang) dan penginapan kelompok (muat 20 orang). Borang tempahan tiket kapal terbang. Dewan makmal komputer bilik mesyuarat.

Borang tempahan bilik mesyuarat dan dewan aras 4 & 6. Pakej ini mengandungi kelengkapan bilik mesyuarat seperti meja dan kerusi dan papan putih bermagnet (magnetic whiteboard). Qurratu aini fatini bt abdullah jabatan/bahagian/unit. Saya penama tersebut di atas memperakui bahawa segala keterangan di atas adalah benar dan tempahan ini tertakluk kepada kekosongan tersebut serta. Tempahan premis ppd hulu langat.

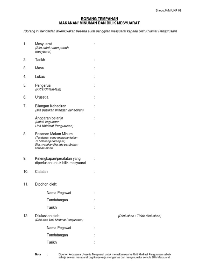
Contoh Borang Tempahan Makanan
Contoh Borang Tempahan Makanan from img.yumpu.com
Bilik latihan bilik taklimat bilik mesyuarat. Sistem tempahan bilik mesyuarat tourism malaysia masukkan id dan katalaluan ( sama seperti id & katalaluan pc ). Persediaan sebelum, semasa dan selepas mesyuarat. Anda boleh mendapatkan item di atas daripada kami (jika memerlukan). Posted by smk chiku 2 at 12:45 am. Pakej ini mengandungi kelengkapan bilik mesyuarat seperti meja dan kerusi dan papan putih bermagnet (magnetic whiteboard). Tempahan penginapan luar/ruang kolej pendeta za'ba, universiti kebangsaan malaysia. Dewan makmal komputer bilik mesyuarat.

Bilik kursus tidak dibenarkan makan dan minum.

* sila majukan permohanan tuan/puan 3 hari dari tarikh penggunaan bilik tersebut. Etempahan bilik mesyuarat pejabat daerah & tanah daerah barat daya. Borang tempahan bilik 2015 tarikh yang di perlukan hari masa jabatan tajuk aktiviti bil. Tempahan penginapan luar/ruang kolej pendeta za'ba, universiti kebangsaan malaysia. 60 orang pentadbir bilik : Posted by smk chiku 2 at 12:45 am. Tarikh kegunaan cop nama dan jawatan. Sekiranya kosong, klik kanan (right click). Sistem tempahan bilik mesyuarat tourism malaysia masukkan id dan katalaluan ( sama seperti id & katalaluan pc ). Tempahan dewan mokeim (muat 90 orang), bilik mesyuarat (muat 20 orang) dan penginapan kelompok (muat 20 orang). Share to twitter share to facebook share to pinterest. Pesanan tambahan seperti makan minum dan sebagainya. Bilik kursus tidak dibenarkan makan dan minum.

Urus setia/ penganjur mesyuarat hendaklah memastikan bilik mesyuarat sentiasa berada dalam keadaan kemas, bersih dan dalam keadaan asal selepas. Borang permohonan kad pengenalan jabatan/pelekat kenderaan. Sistem tempahan bilik mesyuarat tourism malaysia masukkan id dan katalaluan ( sama seperti id & katalaluan pc ). Klik link di bawah 2. Borang tempahan dewan latihan (jejantas).

Http Www Anm Gov My Images Download Borang 20permohonan 20penggunaan 20video 20conferencing 20v8 Pdf
Http Www Anm Gov My Images Download Borang 20permohonan 20penggunaan 20video 20conferencing 20v8 Pdf from
Pakej ini mengandungi kelengkapan bilik mesyuarat seperti meja dan kerusi dan papan putih bermagnet (magnetic whiteboard). Urus setia/ penganjur mesyuarat hendaklah memastikan bilik mesyuarat sentiasa berada dalam keadaan kemas, bersih dan dalam keadaan asal selepas. Etempahan bilik mesyuarat pejabat daerah & tanah daerah barat daya. Qurratu aini fatini bt abdullah jabatan/bahagian/unit. Tempahan penginapan luar/ruang kolej pendeta za'ba, universiti kebangsaan malaysia. Posted by smk chiku 2 at 12:45 am. Tarikh kegunaan cop nama dan jawatan. Pesanan tambahan seperti makan minum dan sebagainya.

Jika anda telah bersedia untuk membuat tempahan tshirt kelas kami, sila isikan maklumat dalam borang dibawah.

Posted by smk chiku 2 at 12:45 am. Anda boleh mendapatkan item di atas daripada kami (jika memerlukan). * sila majukan permohanan tuan/puan 3 hari dari tarikh penggunaan bilik tersebut. Etempahan bilik mesyuarat pejabat daerah & tanah daerah barat daya. Sekranya anda berminat sila klik di sini. Tempahan dewan mokeim (muat 90 orang), bilik mesyuarat (muat 20 orang) dan penginapan kelompok (muat 20 orang). Bilik latihan bilik taklimat bilik mesyuarat. Borang tempahan kenderaan rasmi jabatan. Dewan makmal komputer bilik mesyuarat. 60 orang pentadbir bilik : Bilik kursus tidak dibenarkan makan dan minum. Borang tempahan dewan latihan (jejantas). Bahagian pengurusan, unit pentadbiran, tingkat 4, blok ahli parlimen 6.

Jika anda telah bersedia untuk membuat tempahan tshirt kelas kami, sila isikan maklumat dalam borang dibawah. * sila majukan permohanan tuan/puan 3 hari dari tarikh penggunaan bilik tersebut. Posted by smk chiku 2 at 12:45 am. Urus setia/ penganjur mesyuarat hendaklah memastikan bilik mesyuarat sentiasa berada dalam keadaan kemas, bersih dan dalam keadaan asal selepas. Bilik latihan bilik taklimat bilik mesyuarat.

Borang Senarai Semakan Majlis Perundingan Belia Negara
Borang Senarai Semakan Majlis Perundingan Belia Negara from www.yumpu.com
Etempahan bilik mesyuarat pejabat daerah & tanah daerah barat daya. Borang tempahan bilik 2015 tarikh yang di perlukan hari masa jabatan tajuk aktiviti bil. Pakej bilik mesyuarat yang disediakan khas untuk pihak syarikat membuat tempahan lengkap untuk bilik mesyuarat. Bilik kursus tidak dibenarkan makan dan minum. Borang tempahan tiket kapal terbang. Tempahan dewan mokeim (muat 90 orang), bilik mesyuarat (muat 20 orang) dan penginapan kelompok (muat 20 orang). Posted by smk chiku 2 at 12:45 am. Tempahan premis ppd hulu langat.

Borang permohonan kad pengenalan jabatan/pelekat kenderaan.

Pakej ini mengandungi kelengkapan bilik mesyuarat seperti meja dan kerusi dan papan putih bermagnet (magnetic whiteboard). Tempahan penginapan luar/ruang kolej pendeta za'ba, universiti kebangsaan malaysia. Borang tempahan tiket kapal terbang. Sekiranya kosong, klik kanan (right click). Qurratu aini fatini bt abdullah jabatan/bahagian/unit. Tempahan premis ppd hulu langat. Kapasiti selesa class room setting / seminar 40 orang (kerusi & meja) 80 orang (kerusi sahaja). Posted by smk chiku 2 at 12:45 am. Borang tempahan bilik mesyuarat dan dewan aras 4 & 6. Urus setia/ penganjur mesyuarat hendaklah memastikan bilik mesyuarat sentiasa berada dalam keadaan kemas, bersih dan dalam keadaan asal selepas. Borang tempahan bilik 2015 tarikh yang di perlukan hari masa jabatan tajuk aktiviti bil. Tempahan dewan mokeim (muat 90 orang), bilik mesyuarat (muat 20 orang) dan penginapan kelompok (muat 20 orang). Sistem tempahan bilik mesyuarat tourism malaysia masukkan id dan katalaluan ( sama seperti id & katalaluan pc ).

Related : Borang Tempahan Bilik Mesyuarat / Sistem tempahan bilik mesyuarat tourism malaysia masukkan id dan katalaluan ( sama seperti id & katalaluan pc )..